BPMN Level 1 Palette

part 2 - modelling common patterns

Pool and Lane

  • Pool represents a single participant: mostly a process

  • Lane represents the performer of an activity in the pool’s process

    • Typically a role or organisational unit

    • Mostly relevant to user tasks

  • Pools and Lanes are an optional way to show how control flow switches between responsible organisational units

  • Do not affect execution of the process

  • Can be used to show the communication of the process with the outside world

bpmn level 1 pools and lanes

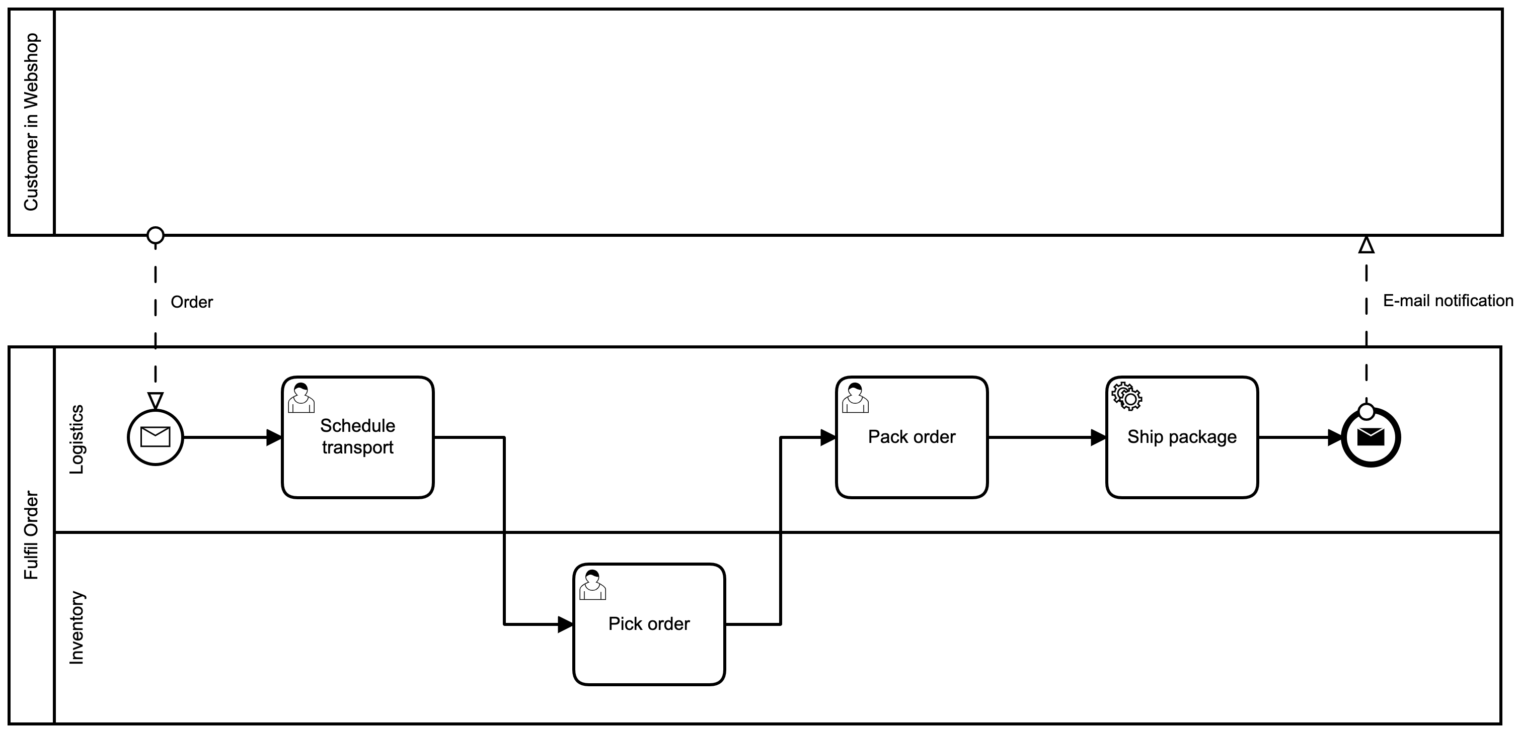
Pool and Lanes Example

bpmn level 1 pool and lanes example

Message Flow

  • Messages represent communication of a process with any outside entity

    • Human or System

  • Not necessarily a technical message!

  • Can even represent a physical transfer

  • Messages flow between pools and their flow nodes, never inside pools

  • Message flow has one source and one target flow node

  • Can enter event or activity from any angle

bpmn level 1 connectors message flow

Messaging Example

bpmn level 1 messaging example

Call Activity

  • Use of a subprocess defined in separate model (file) - lifecycle is separated

    • Tooling support for navigation may vary

  • In process where called, drawn as a collapsed subprocess with thick border

  • Reusable to call from other processes

  • Process must complete before activity can complete

    • Or throw an exception (level 2)

bpmn level 1 call activity

Terminate End Event

  • Terminates the current scope and its activities

  • Doesn’t always terminate the whole process!

  • Usually reached only conditionally

  • Execution continues on the normal flow from the containing process: no emission

  • Do not overuse: a regular end event is just as strong as a terminate

bpmn level 1 terminate end event

Terminate End Event: Example 1

background

Terminate End Event: Example 2

background

Documentation

  • Documents any element in the process model

  • Usage is optional and format is free to choose

  • Has no graphical depiction in the diagram

  • Has no effect on the execution

Text Annotation

  • Textual documentation with graphical depiction in diagram

  • Bound to a flow node by an association (dotted line)

  • Has no effect on the execution

bpmn level 1 text annotation

Group

  • Graphical grouping of elements in a diagram

  • Displayed with a dashed border

  • Has no effect on the execution

bpmn level 1 group

Data Object and Data Storage

  • Geared towards executable process model design

    • Linked to process elements with associations

    • Tooling support varies strongly for execution

  • Data object represents a piece of information local to the process instance (think of a variable)

    • Can be the input and/or output to a task or used in a gateway’s condition

    • State optionally in brackets

    • Only exists in the context of the process

  • Data storage represents persistent data for a piece of information

    • Think of a row in a database

    • Can be queried and updated from the process

bpmn level 1 data object and data storage