BPMN Level 2 - Part 2

Medium Scope: Gateways and Iteration

Medium Scope

Gateways

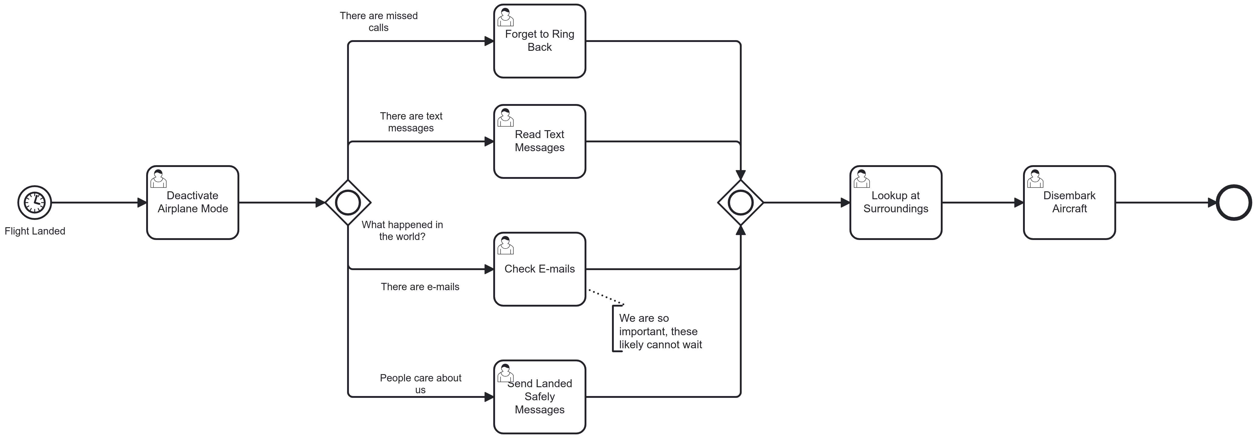
Inclusive Gateway

  • Splits and merges conditionally parallel paths

  • Splitting behaviour: evaluate all conditions of outgoing sequence flow and follow each matching path in parallel

  • Merging behaviour: join all activated incoming sequence flows and proceed after arrival of the last[1]

bpmn level 2 inclusive gateway

Inclusive Gateway Split and Merge

background

Inclusive Gateway Following Business Rule Task

bpmn level 2 business rule tasks activate services

Inclusive Gateway For Ad-Hoc Paths

background

Default Flow

  • Applies to exclusive and inclusive gateways

    • In diverging (splitting) behaviour

  • Default does not mean "by default" or "always", but otherwise

    • Check the conditions of outgoing sequence flows

    • If nothing matches, take the sequence flow marked as default

Default Flow: Example

background

Event Based Gateway

  • Chooses a process path based on the event[2] following the gateway that triggers first

  • Event types allowed:

    • Message

    • Signal

    • Conditional

    • Timer

  • Flow continues on the single path leaving the event that fired

  • Only used as diverging gateway, no merge behaviour

bpmn level 2 event based gateways

Event Based Gateway

bpmn level 2 event based gateways online sales

Birds of a Feather…​?

background

Event Based Gateway vs. Receive Task with Boundary Event(s)

  • Some would say, a matter of taste

  • They work the same, but do they mean the same?

  • Primary action vs. equality of actions

    • Use a task for a primary action with exceptions

    • Use a gateway if the various events are more equal (probability, frequency, value, etc…​)

Medium Scope

Iteration

Iteration

  • BPMN offers various ways to iterate in process models

  • Applied by multiple elements

    • Loop back with control flow

  • Applied with single elements

    • Loops (do…​ while)

    • Multi-instances (for each…​ do)

Loop Back with Control Flow

  • Manage the iteration yourself

  • Usually guarded by an exclusive gateway or conditional event (with event subprocess, later)

bpmn level 2 loopback control flow

Loop Back with Control Flow Example

bpmn level 2 loopback control flow clean house

Loops

  • Loop marker added to activity

  • The number of iterations is unknown upfront: a completion condition determines when the loop stops by turning false

  • Process engine[3] manages the iteration by evaluating the completion condition after each execution

  • Iteration is always sequential: the activity is conditionally repeated

bpmn level 2 loop markers

Loops Example

bpmn level 2 loop markers movie night

Multi-Instance

  • Multi-instance marker added to activity and/or pool

  • Number of iterations is known upfront: one iteration for each item in a list of the process data

  • Typical use case: collections of sub elements

  • Process engine manages the iteration by executing once for each item

  • Iteration can be sequential or parallel: type of marker determines

    • 3 parallel horizontal bars: sequential

    • 3 parallel vertical bars: parallel

  • The activity completes after all instances have been executed

bpmn level 2 multi instance markers

Multi-Instance Parallel Example

bpmn level 2 multi instance markers invoice accounts

Multi-Instance Sequential Example

bpmn level 2 multi instance markers acquire authorisations

Medium Scope

Method & Style

Gateways

  • Consider event-based gateway vs. receive task with boundary events

  • Don’t use names for event-based gateways and converging inclusive gateways: the behaviour is never process specific

  • For diverging inclusive gateway, consider naming as a question with answers on outgoing sequence flows, just like exclusive gateways

  • A business rule task is a natural predecessor to a diverging inclusive gateway

  • Don’t add conditions to sequence flows leaving an event-based gateway

Iteration

  • Always use a text annotation near the iteration marker to indicate the condition or collection

  • Consider using a separate process model for the contents of a multi-instance body because the objects you operate on don’t match 1:1

  • Multi-instance pools make most sense as part of a collaboration of pools because the relationship with the "parent" is visible

  • With interrupting boundary events, all instances will be aborted

Questions

background

1. Currently not supported in Camunda 8 (version 8.4.x)
2. Technically, a receive task is also allowed, but using events exclusively provides a more uniform reading experience and a message event accomplishes the same
3. Currently not implemented in Camunda 7 or 8. Use control flow loop to get the same execution effect